TL;DR
1. Oracle is one of the cornerstones of the blockchain world. The core competitiveness of the oracle project is mainly reflected in the following four aspects: comprehensiveness and credibility of data acquisition, acquisition and value capture of exclusive data, security and decentralization of the verification mechanism, transmission efficiency and network robustness.
2. It is estimated that by 2030, the overall market size of the oracle track should be between US$13.8 billion and US$23.1 billion.
3. Chainlink is the absolute leader in the oracle field, with rich data sources and extensive project cooperation; Pyth has advantages in transmission speed and acquisition of financial data; Redstone is currently the only oracle with both Push and Pull price feeding methods.
4. In the future, oracles will no longer be overly dependent on providing price feed services for DeFi projects, and RWA is expected to become a strong second growth curve in the oracle track.
5. In the future, DePIN, AI, and DeSci businesses will have the opportunity to be combined with oracle data services, becoming a new driving force for oracle revenue growth and allowing the industry to grow from 2 to N.
Preface
Oracle is a service mechanism in the blockchain system, which is used to introduce off-chain data into smart contracts and is one of the cornerstones of the blockchain world. From the perspective of first principles, the core competitiveness of the oracle project is mainly reflected in the following four aspects: comprehensiveness and credibility of data acquisition, acquisition and value capture of exclusive data, security and decentralization of the verification mechanism, transmission efficiency and network robustness.
Figure 1: Oracle competitiveness model

Competitiveness 1: Comprehensiveness and credibility of data acquisition
In short, a complete oracle platform needs to have enough node service providers to provide a large amount of data for verification. Taking the Chainlink project as an example, there are currently more than 100 Chainlink data suppliers, including well-known data platforms such as Arkham, Coin Metrics, and Coingecko. Multiple data providers can reduce the single point risk of data. At the same time, these data platforms enjoy a high reputation in the industry, and the data they provide has been strictly verified to ensure accuracy and reliability.
Competitiveness 2: Acquisition of exclusive data and value capture
From the perspective of the DeFi track, the data types that oracles can provide are generally similar. The difference lies in some highly structured indicators such as Pi Cycle. Some oracles can find data suppliers, while some oracles cannot find suppliers. Exclusive data is a major growth point in the development of oracles. More and more private data can be transmitted point-to-point through oracles.
Competitiveness 3: Security and decentralization of verification mechanism
The verification mechanism is the core of the oracle. Different projects use a variety of aggregation algorithms (such as median, reputation weight, time-weighted average, etc.) to adapt to specific data types and scenario requirements.
Competitiveness 4: Transmission efficiency and network robustness
After solving the problems of quantity, quality, verification and other issues of data sources, the last important link is data transmission. Since the main application scenario of the oracle is DeFi, the oracle needs to transmit real-time data to ensure the accuracy of transaction prices. At the same time, when encountering fluctuations in the blockchain network, the oracle still needs to ensure the real-time transmission of data.
In summary, oracles mainly play the role of data integration, verification and transmission. In addition to the technical dimension, the long-term development of oracle projects also depends on mechanism design, especially a reasonable token incentive mechanism, which can effectively drive node participation and ecological growth. These elements together constitute the competitiveness model of oracles.
The importance of oracles to the DeFi track is self-evident. Lending protocols, pledge protocols, and derivatives exchanges all need to interact with oracles in large quantities to obtain real-time data on assets. Among them, lending protocols are the main service users of oracle data. Lending protocols need to obtain the market price of collateral assets in real time to calculate the collateral ratio and trigger liquidation. For example, Aave, Compound, Kamino and other leading lending protocols already have a high asset management scale. Directly obtaining the price of a single exchange through an API is prone to the risk of data centralization, so the price feed service of oracles is generally used.
However, the application potential of oracles goes far beyond financial transaction data. In theory, all types of off-chain data, such as real estate price data, sensor data, and biomolecule data, can be uploaded to the chain through oracles to trigger transactions of their corresponding assets. This indicates that there are multiple sub-segments in the oracle track that are in a potential stage of rapid growth.
In order to have a more comprehensive understanding of the oracle track, this article will analyze it from five aspects: development history, market size, core projects, second growth curve, and dedicated oracles.
1. Development History of Oracles
2014 and before
Augur is a decentralized prediction market that enables users to bet digital assets on the outcomes of real-world events. The need for oracles is emerging. Vitalik is an advisor to the project.
2015-2016 Phase
Ethereum co-founder Vitalik Buterin proposed the concept of oracle, emphasizing its key role as a smart contract to obtain external data. In 2015, Oraclize (now Provable) launched the first decentralized oracle service, supporting Ethereum smart contracts to obtain external data. In the same year, the Ethereum mainnet was launched.
2017-2018 Phase
The Chainlink project was established in 2017 and proposed the concept of a decentralized oracle network (DON) to solve the single point failure problem. Decentralized finance (DeFi) has not yet exploded, and the demand for oracles is mainly concentrated on simple data calls.
2019-2021 Phase
DeFi Summer is coming in 2020. Oracles, as the core external data service provider of DeFi, provide price feed services for decentralized applications. Due to the explosion of demand, oracle projects other than Chainlink, such as Band Protocol and Tellor, have been launched one after another, and the competition landscape has begun to emerge.
2022-2023 Phase
The DeFi market has entered a period of adjustment, but the oracle track continues to innovate. Cross-chain interoperability and modular blockchains have become industry trends, and oracle services have expanded to multiple chains and multiple scenarios. Chainlink launched the Cross-Chain Interoperability Protocol (CCIP), which supports cross-chain data transmission and smart contract interaction. The Pyth Network (an oracle focusing on financial data) mainnet was launched, attracting the participation of many traditional financial institutions.
2024-2025 Phase
Oracle services have expanded from DeFi to games, NFTs, insurance and other fields. DePIN applications have begun to have more demands for IoT oracles. AI is combined with oracles to explore new scenarios for the automated execution of smart contracts.
Figure 2: Oracle development timeline

2. Market size of oracle track
Since there is currently a lack of authoritative forecast data specifically for the future growth of the oracle track, this article attempts to indirectly deduce the potential market size of oracles through the growth of its service target, the DeFi track.
According to historical data, by the end of 2024, the total market value of oracle projects will be US$10.55 billion, accounting for 11.8% of the total market value of DeFi (US$91.268 billion). Compared with the beginning of 2021, when the market value of oracles once accounted for more than 25% of DeFi, this proportion has declined significantly. The core reason for this change is that new models such as re-staking have expanded the industry boundaries of DeFi, but compared with other inherent DeFi segments, the "necessity" of oracles remains solid.
Figure 3: 2021-2024 Oracle market value share DeFi market value change

Data: Coingecko
Based on Grand View Research’s forecast of the DeFi market (the compound annual growth rate from 2025 to 2030 is about 53%, and the market value will reach US$231 billion in 2030), this article introduces two hypothetical scenarios of "stable share" and "declining share" to calculate the oracle market space:
●Optimistic scenario: If the oracle market size can be maintained at 10% of the DeFi market size, it will reach US$23.1 billion by 2030.
●Neutral scenario: The oracle market size remains at 6-8% of the DeFi market size, which will be US$13.8-18.4 billion by 2030.
This prediction model uses the method of "market capitalization share × DeFi total market capitalization" to calculate the potential market capitalization of the oracle, which not only reflects its dependence on the growth of DeFi, but also takes into account the trend of the oracle industry's independent growth rate gradually slowing down relative to DeFi.
Figure 4: DeFi market size predicted by Grand View Research

3. Main projects in the oracle track
The current situation of the oracle industry can be described as a monopoly. In terms of token market value and TVS (total protected value), Chainlink is the absolute leader in this field. As of March 2025, the TVS of the Chainlink project is 31 billion US dollars, accounting for 53.3% of the total TVS of the entire oracle track, and the token market value is 9.6 billion US dollars, accounting for 76.9% of the total market value of the entire oracle track. In addition to Chainlink, projects such as Pyth Network, UMA, and API3 also occupy a place in the oracle track with their advantages in low latency, verification mechanism, and data acquisition.
Figure 5: Market value of tokens of major oracle projects

Figure 6: TVS (Total Value Protected) data of DefiLlama oracle main projects

Figure 7: Comparison of major projects in the oracle track

Note: TVL and total token market value data are from March 2025
3.1 Chainlink
Chainlink is the absolute leader in the oracle track. The project was founded in 2017 and is one of the earliest oracle projects. Chainlink provides services such as data feed, automation, verifiable random function (VRF), and cross-chain operation (CCIP). In 2024, from the perspective of revenue structure, the revenue from data feed services accounted for the highest proportion of project revenue, accounting for 95% of the cumulative revenue. Its main service target is the DeFi protocol; the revenue from the other three types of services accounted for a total of 5%. The revenue from automation services and cross-chain services accounted for 2% each, and the revenue from random number generation services accounted for less than 1%. [4]
Figure 8: Chainlink project revenue breakdown in 2024

3.1.1 Chainlink Price Feed Service
Price feeding is one of the most traditional services of oracles. As one of the earliest decentralized oracle projects, Chainlink's price feeding service does not obtain prices directly from third-party APIs, but obtains data through data nodes. Taking the Aave lending platform to obtain the real-time price of ETH/USDT as an example, the user's transaction request on the chain will trigger a smart contract, which will call Chainlink's oracle service to obtain the latest price data. Chainlink oracles do not obtain information directly from a single data source, but obtain data from multiple high-quality data aggregators (such as CoinMarketCap, Coingecko) through multiple independent nodes. The nodes aggregate and clean the data locally and submit it to the chain.
Subsequently, Chainlink's aggregation contract will screen and weighted average the data reported by all nodes again to obtain a final on-chain price for smart contract calls. In this process, the oracle nodes are composed of independent operators such as LinkPool, ChainLayer, and Mycelium. After the Aave platform uses the price data, it will pay the Chainlink network $LINK tokens as service fees through smart contracts. [5]
Figure 9: Chainlink price feed service flow chart

3.1.2 Chainlink Automation
Automation is another important revenue-generating business of the Chainlink project. In 2021, Chainlink released the Keeper transaction automation service. Keeper is an external account (EOA) that can trigger smart contracts to execute based on predefined conditions under certain economic incentives. Keeper uses off-chain calculations to execute the same smart contract functions as on the chain. Once the function returns a value of true, Keepers will initiate an on-chain transaction and call the on-chain smart contract function. In actual applications, Keeper can be used to automatically perform operations triggered by specific events, such as minting NFTs, rebalancing liquidity supply, revenue aggregation and loan repayment. Keeper is also the most important product of the Chainlink project in the Automation 1.0 era. [6]
Figure 10: Chainlink Keeper workflow

In 2024, Chainlink launched Automation 2.0. Automation 2.0 introduces cryptographic consensus in decentralized off-chain computing, transferring expensive computational verification in the blockchain network to the off-chain network. Developers can improve the running time of their dApps, reduce costs, and simplify the user experience. The savings in gas fees and the improvement in computing performance will allow more developers to choose Chainlink's Automation 2.0 solution. [7]
Figure 11: Chainlink Automation 2.0 workflow

3.1.3 Chainlink cross-chain protocol
In 2021, Chainlink released the Cross-Chain Interoperability Protocol (CCIP), a new open source standard for cross-chain protocols. The protocol provides smart contract developers with a common infrastructure with computing power that can transmit data and smart contract instructions across various blockchain networks. CCIP will become the underlying protocol for various cross-chain services, including Chainlink's programmable token bridge, which allows users to transfer tokens to any blockchain network securely and efficiently with scalability.
For example, if a user wants to transfer 1,000 USDT from Sui to Solana, the key point is that the cross-chain bridge can verify that the user actually owns 1,000 USDT on the Sui chain. The Chainlink network, with its large and decentralized node network, has strong advantages in cross-chain verification and data relay, which is very suitable for such cross-chain scenarios with high security requirements.
Figure 12: Chainlink’s flow chart for cross-chain asset transfer

3.1.4 Chainlink Verifiable Random Function
A verifiable random function is a cryptographic function that generates a pseudo-random number based on data input and comes with a proof that anyone can verify. Chainlink VRF uses Goldberg's verifiable random function (VRF). Chainlink VRF generates one or more random numbers for each random number request and comes with a cryptographic proof of the random number. This proof will be published on the chain and verified on the chain, and the random number will only be used after the verification is passed. Chainlink VRF has covered multiple blockchain networks including Ethereum, Polygon, and BSC. In February 2022, VRF V2 was officially launched. It is a new upgraded version of VRF with more powerful performance and higher security.
Figure 13: Chainlink’s verifiable random function interacting with smart contracts

3.1.5 Chainlink Enterprise Privacy Data Service
As one of the earliest oracle projects, Chainlink has not stagnated in the expansion of other businesses while the price feed business has formed a relatively strong moat. There has been significant growth in automation, cross-chain protocols, and verifiable random numbers. In addition, there are a large number of physical enterprises that require point-to-point transmission of private data. To meet this demand, a large number of startups specialize in private data, using methods including multi-party secure computing (MPC), zero-knowledge proof (Zero Knowledge Proof), homomorphic encryption (HE), trusted execution environment (TEE), federated learning, etc. Chainlink's powerful verification network can ensure the security and timeliness of private data transmission.
Chainlink can provide enterprises with the opportunity to sell data and API services to the blockchain environment, and realize various functions such as private data on-chain, contract logic calculation off-chain, and private data transactions on-chain. In November 2024, Chainlink announced the completion of a pilot program with the Society for Worldwide Interbank Financial Telecommunication (SWIFT) and Swiss banking giant UBS. The pilot project tested tokenized fund settlements between parties, including options for traditional financial systems to interact with the digital economy without the use of cryptocurrencies [8]
Figure 14: Chainlink private data on-chain flow chart

3.2 Python Network
Compared with predecessors in the oracle track such as Chronicle, Chainlink, and WINkLink, Pyth Network did not complete the project launch until 2021. Oracles are a key link in the grand narrative of Solana's high-performance public chain. Not only on-chain transactions, but also narratives such as DePIN, AI, and low-latency payments require oracles as support. Pyth Network is also a project that the Solana Foundation focuses on supporting. The fast price update frequency is one of the important labels of Pyth.
Pyth Network supports 65 public chains, second only to Redstone, and is one of the oracles that supports the most public chains. However, its main price feed service still occurs on the Solana chain. According to Dune data analysis, the number of interactions between Chainlink and Pyth on Ethereum and Solana has formed a certain barrier, and it is difficult for each to expand its market share on the other's public chain.
【9】
Figure 15: Number of price feed transactions for Pyth and Chainlink on Ethereum and Solana

3.2.1 Pyth Network Price Feed Service
From the oracle competitiveness model mentioned in the introduction, the competitiveness of Pyth's price feed service is mainly reflected in the low latency and exclusivity of its data. Pyth does not set up the role of node service provider in price feeding. Many financial institutions including Wintermute and Flowdesk are Pyth's first-tier data suppliers. Pyth's price feed service provides corresponding SDKs for different types of public chains such as EVM chain, Solana, Sui, etc. After the user installs the SDK, he can call (import) Pyth's price feed service. [10]
Figure 16: EVM chain, after installing the SDK, calling the Pyth price feed service in the Solidity development environment

Figure 17: Solana, after installing the SDK, calling the Python price feed service in the Rust development environment

Figure 18: Sui, after installing the SDK, calls the Python price feed service in the Move development environment

3.2.2 Pyth Network Random Number Generation Service
Pyth Entropy is a random number generation product launched by Pyth Network. The principle of generating random numbers is similar to Chainlink's random number generation service. Pyth Entropy's random number generation can be completed with only a few lines of code. Users of the service need to call the requestWithCallback method of the IEntropy contract, which requires users to pay fees in Gas Tokens. The fees on each chain are different. By building a callback function, the contract can obtain the random number generated by the entropy contract.
Figure 19: EVM chain, after installing the SDK, calling Python Entropy in the Solidity development environment

3.2.3 Pyth Network Express Relay Service
The Fast Relay Service is the latest product launched by the Pyth team in July 2024. The purpose of this product is to eliminate MEV (maximum extractable value) on the chain. MEV itself is a controversial topic. It specifically refers to some nodes arbitrage through transaction sorting on the chain, especially on public chains with low TPS such as the Ethereum mainnet. Arbitrage will be easier. The attitude of public chains towards MEV is also different. Some public chains choose to acquiesce, while others try to minimize the arbitrage benefits of transaction sorting.
To understand the significance of fast relay, let’s take the Solana network as an example. Memecoin transactions on the Solana chain are transactions that have very high timeliness requirements. A token may rise or fall by more than 10% within a few seconds. Therefore, if traders use the Orca protocol to trade, they need to pay a certain percentage of tips to on-chain nodes such as Helius and Galaxy to allow the nodes to prioritize the transaction. Through fast relay, the Solana network has an additional relay for users to search and bid for priority transactions. The highest bidder can allow the node to prioritize the transaction. The proceeds from the bidding will be given to the protocol layer such as Orca, rather than nodes such as Helius. The interests of the DeFi protocol are protected to the greatest extent. [11]
Figure 20: Schematic diagram from the article "Eliminating MEV, Learn about Pyth Network's new product Express Relay in one article"

Fast relay is not only an important product launched by Pyth Network, it also plays a role in protecting decentralized financial protocols such as Orca, Jupiter, and Kamino on the Solana chain. Eliminating MEV and returning the income to the protocol layer. The increase in income will encourage more DeFi developers to choose the Solana ecosystem.
3.3 Redstone
Chainlink and Pyth occupy a core position in the Ethereum and Solana ecosystems respectively, forming their own distinct ecological labels. However, there are also some oracles on the market that do not choose between Ethereum and Solana, but provide services for as many public chains as possible. Redstone is a representative of this type of oracle. It has completed the integration of more than 70 public chains, which is the oracle project with the most integrated public chains.
Redstone's products include the push model and the pull model, as well as the new field of AI oracles. The push model and the pull model are currently the two most commonly used methods for oracles to obtain data. Chainlink uses the push model, where data operators push off-chain data to the chain. Its advantage is its fast speed, but its disadvantage is that data may be erroneous and requires a complete verification mechanism. Pyth uses the pull model, which has the advantage of being relatively flexible and able to pull data when needed; its disadvantage is that data updates are unstable. Redstone is currently the only data provider that uses both the Push and Pull models. [12]
Figure 21: Redstone service process design

3.3.1 Redstone push model
The push model consists of two main parts. The first part is the off-chain relayer, which is responsible for pushing data to the chain in a customized way through environment variables. The second part is the on-chain contract, which is used to store prices and obtain prices through familiar interfaces such as Chainlink Aggregator.
The off-chain relay is an innovative design. Previous oracle projects did not design this processing layer. The relay is a service that runs in a customizable manner based on environment variables. It periodically checks a set of defined conditions and pushes prices when the conditions are met. The conditions that have been implemented include time conditions and price deviation conditions. This design facilitates on-chain DApps to call the oracle service only when certain conditions are met, realizing the customization and automation of price feed services. [13]
Figure 22: Push model workflow

3.3.2 Redstone Pull Model
When data is needed, the on-chain smart contract actively calls the oracle interface and requests the latest off-chain data from RedStone, rather than continuously receiving data pushes in advance. RedStone's Pull model injects data directly into user transactions, thereby maximizing gas efficiency while simplifying dApp data access. [14]
Figure 23: Pull model workflow

3.3.3 Redstone AI Oracle Architecture CLARA
CLARA is a blockchain communication layer framework launched by Redstone, which aims to achieve seamless communication between agents. The CLARA agent protocol consists of three key components. They are the market module, CLARA SDK, and framework plug-in. The market module is responsible for coordinating the relationship between agents and is responsible for key processes such as verification and transactions. CLARA SDK is a developer toolkit that allows developers to easily access the CLARA network. The framework plug-in provides an interface for the CLARA communication architecture to access the current mainstream AI Agent architecture such as Eliza, making it the communication layer of the mainstream AI Agent architecture. In the future, Redstone will also launch multiple AI-related oracle services. Its exploration in the field of AI is at the forefront of the industry. [15]
Figure 24: CLARA can interact with multiple mainstream AI Agent architectures

4. RWA opens the second growth curve of the oracle track
As the "data bridge" of the DeFi ecosystem, oracles are deeply bound to the rapid growth of the industry with core functions such as price feeding and cross-chain liquidation. However, as the DeFi market penetration rate gradually becomes saturated, the limitations of over-reliance on a single scenario are gradually emerging - protocol revenue is vulnerable to market fluctuations, and the homogeneity of technology iterations weakens long-term value capture. Unlike DeFi, which mainly provides price feeds, RWA's demand for oracles is more complex, including asset valuation, real-time tracking of physical asset status and on-chain synchronization, making it a new battlefield for the extension of oracle capabilities. Building a "second curve" in the RWA scenario is expected to open up a $100 billion incremental market with a trusted off-chain data key.
4.1 RWA price feed service demand grows, and oracles become the beneficiaries
The integration of traditional finance and crypto technology is one of the biggest narratives in 2024. There are Bitcoin ETFs such as IBIT that actively embrace traditional channels for crypto assets, and U.S. Treasury bonds such as BUIDL that actively go on-chain for traditional assets. For cryptocurrency investors, real-world assets are a favorable tool for hedging on-chain risks. Real-time feedback of off-chain asset prices requires the help of oracles, which are the bridge between on-chain and off-chain, so that investors can monitor the changes in the net value of their total assets in real time.
RWA calls the oracle's price feed service similar to DeFi's price feed service. Since RWA really started to take off in 2023, and the landmark event of BlackRock's issuance of on-chain US Treasury BUIDL was in February 2024. RWA is currently in the early stages of development and still has broad room for growth in the future. Consulting firm McKinsey predicts that by 2030, tokenized real-world assets will reach 2 trillion US dollars. As of March 2025, data from the RWA.xyz platform showed that RWA's total assets were US$247.4 billion (including stablecoins), and there is still nearly 10 times of room for growth. As an important infrastructure for RWA, the oracle can obtain significant revenue growth. [16][17]
Figure 25: RWA asset size trend chart (including stablecoins)

4.2 Oracles that have provided services for the RWA project
●Chainlink already supports Backed Finance’s partially tokenized RWA price feed
In July 2023, Backed Finance's bTokens such as bIB01, bIBTA, and bCSPX have supported the use of Chainlink Price Feeds, including the tokenized real-world asset (RWA) prices of 0-1 year US Treasury bond investment ETF IBO1, 1-3 year US Treasury bond fixed income ETF IBTA, and ETF CSPX tracking the S&P 500 index. Backed Finance plans to integrate Chainlink Proof of Reserve to improve the transparency of Backed products.
●Redstone introduces Eurozone government bond ETF data source to the crypto world
In August 2023, the oracle Redstone reached a cooperation with the decentralized stablecoin protocol Angle. After RedStone integrated Angle, it provided it with price feed services for the Eurozone government bond C3M ETF every noon, ensuring that its platform and users can access the latest and reliable data.
●Pyth Network has provided price feed services for the RWA platform Ondo Finance
In January 2024, the RWA platform Ondo Finance announced a partnership with the oracle project Pyth Network to expand Ondo asset price information to multiple blockchains. As of March 2025, Pyth has provided price feed services on 65 public chains.
1. Supra public chain’s Distributed Oracle Protocol (DORA) 2.0 provides RWA price feed services
In July 2024, the oracle protocol DORA 2.0 of the Supra blockchain introduced the RWA price feed mechanism. For the first time, it provides accurate and reliable real-time price data for many traditional assets with a final confirmation time of between 600 and 900 milliseconds. As of March 2025, Supra has provided price feed services on 36 public chains. [18]
Chronicle Labs launches RWA oracle “The Verified Asset Oracle”
In November 2024, the Chronicle Labs team launched a new RWA oracle, The Verified Asset Oracle. Its goal is to expand the Chronicle oracle service to various types of off-chain assets. Specific implementation method: The VAO oracle will first verify the integrity and quality of these off-chain assets, and then transmit the verified data to the blockchain network. This data will be pushed directly to smart contracts or other on-chain products. According to official disclosures, VAO has reached cooperation with RWA platforms such as Plume Network, Centrifuge, and Superstate to provide real-time verification services for these products and their ecological public off-chain assets.
In summary, the current mainstream oracle projects have already started to deploy in the RWA field, from Chainlink's traditional asset support, to Redstone's introduction of European bonds, to Supra and Chronicle's expansion into financial asset modeling, showing two overall development paths: one is to continue the DeFi logic and strengthen the on-chain financial assets; the other is to explore more complex off-chain entity data modeling and provide real-time data support for high-threshold asset types. This trend shows that the oracle track is evolving from "price transmission" to "trusted data infrastructure."
4.3 Non-financial assets, high threshold off-chain data modeling
The previously published article "One article explains the core logic and hot projects of RWA" describes various types of RWA assets classified by cash flow. However, for data providers based on the oracle, RWA can be divided into financial assets and non-financial assets.
The so-called financial assets are securitized assets whose fair value can be reflected in real time, such as stocks, bonds, funds, and futures. The data supply of such assets is relatively easy, and Bloomberg, Robinhood, and Yahoo Finance can all provide API interfaces. For oracles, transmission efficiency is the core competitiveness of financial asset data. The oracles that support RWA data mentioned in 4.2 above mainly support financial assets.
Non-financial assets refer to assets that cannot reflect prices in real time and need to reflect their prices at a certain point in time through mathematical modeling and other methods. For example, real estate, charging piles, photovoltaic components, artworks, etc. Taking charging piles and photovoltaic panels as examples, users invest in tokenized assets through on-chain funds, but these cash flow assets are greatly affected by weather, environment, and equipment management, which may affect the distribution of their future cash flows. Therefore, it is necessary to make asset models for such tokens and reflect the risks in the token prices. According to the forecast of the Market.US website, the market size of the global renewable energy and real estate industries in 2025 will be US$1.4 trillion and US$6.8 trillion respectively. Once a higher proportion of these assets are tokenized, the demand for oracle data will explode.
【19】【20】
For these non-financial assets, oracles need to provide more complex services, such as accessing data sources that can reflect asset status and influencing factors (such as weather data, equipment operation data, etc.), and combining mathematical models to convert this information into credible on-chain prices or risk assessments, thereby supporting the valuation and management of non-financial RWA tokens. Since the valuation modeling threshold for non-financial assets is high, valuation companies off-chain need to adjust their valuation models in real time, so such assets have higher requirements for the transmission performance of the public chain. High-performance chains such as Solana have significant advantages in transmission performance. Based on this, it is speculated that the price feed of non-financial assets may become a major growth point for Solana on-chain oracles in the future.
In addition, as the diversification, asynchrony and dynamic evaluation characteristics of non-financial assets become more and more obvious, oracles not only bear the responsibility of "on-chain data", but also need to have the ability of "off-chain model adaptation and continuous verification". This means that future oracle projects will start a new round of competition in terms of data depth, modeling complexity and coordination with high-performance public chains.
Figure 26: Global renewable energy market size

Figure 27: Global real estate market size

5. Oracles for multiple types of data: industry growth curve from 2 to N
At present, mainstream oracles are mostly focused on the on-chain transmission of price data, forming a standardized service path represented by DeFi price feed. However, with the expansion of on-chain demand, especially emerging scenarios such as RWA, DePIN, AI, DeSci, etc., which put forward more complex requirements on the types, formats and real-time performance of off-chain data, the service capabilities of oracles are also moving from "universal transmission" to "vertical processing" - building dedicated collection, verification and upload systems for specific types of data. In the future, the industry will move from "unified price feed" to the state of parallel development of "multiple types of dedicated oracles", entering the expansion stage of "from 2 to N".
5.1 IoT Data Oracle, DePIN Capacity Expansion
The concept of DePIN has many similarities with RWA. Both are some kind of mapping of real-world assets on the chain, but the essential difference between the two is that RWA focuses on investment to obtain a one-time return or continuous cash flow, while DePIN focuses on the use of storage, bandwidth, and graphics cards rather than investment. The emergence of IoT oracles allows device users to monitor the data status of devices in real time, which is similar to the concept of device data networking in the industrial Internet.
In order to bring the data of off-chain hardware onto the chain, the concept of IoT oracle came into being. As early as 2023, the aitos.io project has proposed an oracle paradigm based on IoT data - BoAT3. BoAT3 is a PoPow (physical proof of work) paradigm, which can be understood as how much work the off-chain hardware has done (for example, how much weather data the thermometer has collected), and the completed workload is uploaded to the chain, and the workload is counted in the unit of DU (DePIN Unit). [21]
Figure 28: BoAT3 IoT Oracle Architecture

However, this architecture has not shown enough influence since it was proposed. The author believes that the core reason is that the conversion mechanism of DU for different hardware is not clear. For example, Filecoin's storage hard disk has 1TB of data written, Helium base station hotspot's 100GB bandwidth is used, and BTC mining machine has 5TH/s cloud computing power put into use. The data of these different hardware cannot be unified into the same DU. The Internet of Things will generate a large amount of non-standardized data every day, such as 1MB of weather data, 1MB of human pulse data, and 1MB of car charging data, and their values are definitely different. Therefore, unified measurement is crucial for this track. After the unit is unified, the on-chain data demander can more easily judge the workload completed by the on-chain equipment.
Currently, IoT oracles are still in the early stages of development, with a relatively small number of projects. Echolink, a blockchain oracle deployed on Solana, is one of the few oracles designed for DePIN. The project has completed the connection of about 8 million hardware devices. IoT data is based on the PoDW (Proof of Device Work) architecture. [22]
5.2 Code Oracle, Bittensor is just in time
Bittensor is one of the most successful examples of combining AI and blockchain. It is a decentralized machine learning network. The demander publishes algorithm problems on the chain and offers rewards for different models to mine. The model that solves the algorithm problem best will receive the most rewards.
The underlying logic of Bittensor has certain similarities with oracles. Oracles connect DeFi protocols with off-chain price data, while Bittensor connects the demand side of on-chain algorithmic problems with off-chain AI models.
Disassembling Bittensor's success story, the underlying data uploaded to the chain is still the program code. In the future, there may be a dedicated oracle to upload the off-chain code to the chain. A possible scenario is the code vulnerability check of DEXs such as Uniswap, Sushiswap, and GMX. Taking Uniswap as an example, as the leader of decentralized exchanges, Uniswap launches a bug bounty program every quarter to allow white hats to find vulnerabilities in V2, V3, and V4 contracts.
If there is a professional oracle for uploading code, the optimal solution for different white hats to modify the code can be found through environmental simulation and testing, and the optimal code can be uploaded to the demand side Uniswap. This can not only save Uniswap's code audit resources, but also solve the centralization risks of traditional code audit platforms such as Immunefi and HackerOne. [23]
Figure 29: Uniswap V4 launched a bug bounty campaign worth up to $15.5 million

5.3 Biomacromolecule Oracle, Crypto × Biotech Infrastructure
In the fourth quarter of 2024, the DeSci narrative supported by Vitalik and CZ became one of the main hot spots in the cryptocurrency industry. Some project parties that received cryptocurrency financing hope to use the funds for the development of biological macromolecules. Three longevity candidate molecules have successfully issued tokens on the one-stop token issuance platform Pump.science.
Although the meme attributes of such tokens are far greater than real scientific research, if more and more Biotech projects are financed through on-chain funding channels in the future to develop biomacromolecules, then the relevant compound reaction data can help investors determine whether a project is worth investing in. If there is a oracle dedicated to biomacromolecules, with multiple node operators that score the results of macromolecule clinical trials, it can effectively reduce the barriers for on-chain investors to understand the biopharmaceutical industry in a decentralized manner.
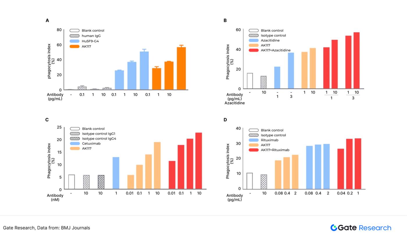
Take BMJ Journals as an example. It is one of the world’s top four comprehensive medical journals, covering authoritative data in the fields of comprehensive medicine, clinical specialties (such as gastroenterology, rheumatology, neuroscience, etc.), epidemiology, drug research, medical education, etc. Such medical journals or databases can serve as data nodes for biological macromolecule oracles, uploading clinical performance data of macromolecules to the oracles to provide data support for the token value of macromolecules. [24]
Figure 30: Clinical data presentation in BMJ Journals (AK117 molecule of Kangfang Biopharma)

In summary, oracles are gradually evolving from a "general data layer" serving standardized financial protocols to a "multimodal infrastructure" supporting vertical scenarios. The demand for off-chain data upload in multiple fields such as the Internet of Things, AI code, and life sciences is giving rise to a number of dedicated oracles.
Conclusion
Judging from the current consensus of cryptocurrency users on oracles, the main function of oracles is to aggregate and verify off-chain price data and supply it to DeFi applications on the supply chain. Since 2022, the integration of the blockchain world and the real world has become closer. The purpose of RWA is to use on-chain funds to invest in off-chain assets (gold, stocks, real estate, energy); the purpose of DePIN is to aggregate off-chain decentralized hardware (hard drives, graphics cards, routers) to reduce the cost of using hardware; the purpose of DeSci is to put off-chain scientific research projects (biomedicine, artificial intelligence) on the chain to weaken the monopoly of centralized journals. AI represented by Bittensor is to put off-chain AI models on the chain to solve difficult algorithmic problems.
As mentioned above, the demand for off-chain data on the chain is no longer just transaction price data such as BTC/USDT and ETH/USDT, but requires more real-world gold prices, IoT data, macromolecule data, and program codes. For oracles, processing data in multiple modes is both an opportunity and a challenge. The opportunity lies in the processing of multimodal data, which will make the oracle's income no longer overly dependent on price feeds, but will have more incremental income. The challenge is that the oracle needs to reconstruct some business scenarios at the front-end data verification level and the back-end smart contract execution level.
In the past three years, the hot topics in the crypto market have been constantly switching between Meme, DeSci, AI Agent, and DePIN, and the oracle, an important infrastructure, has never been discussed enough. In the future, with the demand for more modal data on the chain and the improvement of smart contract performance, RWA is expected to become the second most important growth curve in the oracle track. At the same time, vertical dedicated oracle startup projects will continue to emerge.
Data Source
1. Grand Research, https://www.grandviewresearch.com/industry-analysis/decentralized-finance-market-report
2. Coingecko, https://www.coingecko.com/en/categories/oracle
3. Defillama, https://defillama.com/oracles
4. Dune, https://dune.com/queries/4894196/8104466
5.Linkwell Node, https://docs.linkwellnodes.io/blog/Build-A-Chainlink-Price-Feed-With-Flux-Aggregator
6. Chainlink,https://blog.chain.link/smart-contract-automation-zh/
7. Chainlink, https://blog.chain.link/chainlink-automation-2-0s-verifiable-compute-a-leap-forward-for-web3-computation-zh/
8. Cointelegraph, https://cn.cointelegraph.com/news/chainlink-introduces-chainlink-runtime-environment-framework
9. Dune, https://dune.com/agaperste/pyth-network-vs-chainlink-price-feeds
10. Pyth, https://docs.pyth.network/price-feeds/use-real-time-data
11. Techflow, https://www.techflowpost.com/article/detail_18981.html
12. X, https://x.com/0xBeyondLee/status/1880274357232214314
13. Redstone, https://docs.redstone.finance/docs/dapps/redstone-push/
14. Medium, https://medium.com/@entrepreneur6666/three-ways-to-integrate-redstone-59a519e07708
15. Redstone, https://blog.redstone.finance/2025/01/22/introducing-clara-communication-layer-for-agents-by-redstone-on-ao/
16. RWA.xyz, https://app.rwa.xyz/
17.McKinsey & Company, https://www.mckinsey.com/industries/financial-services/our-insights/from-ripples-to-waves-the-transformational-power-of-tokenizing-assets
18. Supra, https://supra.com/zh-CN/oracles-product/
19. Market.US, https://market.us/report/renewable-energy-market/
20. Market.US, https://market.us/report/real-estate-market/
21. Mirror.xyz, https://mirror.xyz/0x6510f5d8CC090b38BE8Bf1BBCd28d15e726395A2/IteGyM3tFgbbPLwrAimt9vwpRKe47coFcpKKll3XYaM
22. Echolink, https://echolink.network/
23. Uniswap, https://blog.uniswap.org/v4-bug-bounty
24. BMJ Journals, https://jitc.bmj.com/content/9/Suppl_2/A288






