作者: @BlazingKevin_ ,the Researcher at Movemaker
在 Polymarket 中,每一個預測市場本質上就是一個“關於未來事件的概率交易所”,用戶可以通過買入某個選項(如“特朗普將贏得2024年美國大選”)來表達對該事件的判斷。
又因為對概率事件的買入不同於常見的交易, 因此Polymarket最初使用的定價和流動性機制也和常見的AMM算法不同. Polymarket的定價機制從最初的版本到現在經歷了巨大的變化, 首先採用的是一種AMM機制來實時提供流動性與定價,叫對數市場評分規則簡稱 LMSR. 這種算法目前也被其他一些加密協議, 如Ethos等使用.
瞭解LMSR的特點就能明白Polymarket在大部分時期的定價機制, 以及其他協議選擇LMSR的理由, 也能明白Polymarket從LMSR升級至鏈下訂單簿的原因.
LMSR 的特點以及優缺點
什麼是 LMSR?
LMSR 是一種專門為預測市場設計的定價機制,它允許用戶根據自己的判斷買入某個選項的“份額”,而市場會根據總需求自動調整價格。LMSR 的最大特點是:不依賴對手方也能完成交易,即使你是第一個交易者,系統也能為你定價和成交。這讓預測市場擁有類似 Uniswap 一樣的“永續流動性”。
通俗來講,LMSR 是一個成本函數模型,它根據用戶當前持有的各個選項的“份額”來計算價格。這種機制確保了價格始終能反映出當前市場上對不同事件結果的預期概率。
LMSR 的核心公式
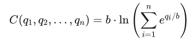
LMSR 的成本函數 C 是根據一個市場中所有可能結果的已售出份額數量來計算的。其公式為:

這裡的符號代表:
- C(…): 成本函數,表示做市商為了維持當前所有結果的份額分佈所付出的總成本。
- n: 市場中可能結果的總數(例如,對於“是/否”市場,n=2)。
- qi:表示第 i 個選項的當前已購買份額(可以理解為“投票權”或“下注數量”)
- b:是一個流動性參數,越大表示市場越“穩定”,價格對新交易的反應越不敏感
- C(q):表示要使市場從當前狀態變動至 q 的成本

這個公式最重要的特性是,所有結果的價格之和恆等於1(∑Pi=1)。當一個用戶購買“是”份額時,$q(YES)增加,導致P(YES)上升,同時P(NO)下降,從而維持價格總和為1。
定價如何產生?
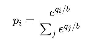
LMSR 的另一個關鍵點在於,價格是成本函數的邊際導數。即第 i 個選項的價格 pi是你再買入一單位該選項時需支付的邊際成本:

這意味著:
- 如果某個選項的購買量越大(即越多人押注它會發生),它的價格就會逐漸上升;
- 最終價格會趨近於反映每個選項發生的市場主觀概率。
比如,在一個“是/否”二選一的預測市場中,若大多數人買入“是”,那麼“是”的價格可能會上漲到 0.80,而“否”則降為 0.20,這就像是在說“市場認為事件發生的概率是 80%”。
此外, 無論在哪種流動性下,成本函數的曲線都是向上延伸的。這意味著購買的份額越多,需要支付的總成本就越高。
流動性參數 b 的作用: b值的大小直接決定了曲線的“平緩”程度,也就是市場的流動性或“厚度”。
- 高流動性 (左圖, b=100): 曲線相對平緩。這意味著,即使你購買了大量的份額,價格的上漲速度也比較慢。這樣的市場可以“吸收”大額的交易而不會產生劇烈的價格波動。
- 低流動性 (右圖, b=20): 曲線非常陡峭。這意味著,哪怕只是少量購買,也會導致價格的急劇上升。這樣的市場非常敏感,流動性較差。
高流動性(大的b值)就像一個“緩衝墊”,讓市場能吸收更大的購買力而價格不劇烈變動(曲線平緩);低流動性則非常敏感(曲線陡峭)。

LMSR 的機制權衡與 Polymarket 的範式遷移
在探討Polymarket向訂單簿模式的演進之前,有必要先解析其早期採用的LMSR機制。LMSR並非一個簡單的技術選項,而是一套具有明確設計哲學與內在權衡的底層協議,其特性決定了它在預測市場不同發展階段的歷史定位。
LMSR的核心機制與設計權衡
LMSR的根本設計目標是信息聚合,而非做市商盈利。它通過一種自動化的數學模型,為預測市場解決了最棘手的“冷啟動”問題,即在早期缺乏交易對手方時的流動性供給。
1. 優勢分析:無條件的流動性供給與可控的做市風險 LMSR最核心的貢獻在於,它確保了市場在任何時間點都存在交易對手方。無論市場觀點多麼冷門或極端,做市商總能提供一個買入或賣出的報價。這從根本上解決了傳統訂單簿在早期市場中因流動性稀薄而無法成交的困境。
與此相對應,為這種“無限”流動性提供擔保的做市商,其潛在的最大損失是可預測且有界的。最大損失由流動性參數“b”和市場結果數量“n”共同決定,其公式為“最大損失 = b⋅ln(n)”。這種風險的確定性,使得贊助一個預測市場的成本變得可控,消除了無限虧損的風險,這對於需要啟動新市場的協議方或組織至關重要。
2. 內在缺陷:靜態流動性與非盈利導向 然而,LMSR的優勢也帶來了其無法克服的結構性缺陷。
- b參數困境與靜態流動性: 這是LMSR最核心的制約。流動性參數“b”在市場創建時即被設定,且通常在市場生命週期內保持不變。大的“b”值意味著流動性深、價格穩定,但對新信息反應遲鈍;小的“b”值則意味著價格敏感、能快速聚合觀點,但市場脆弱、波動劇烈。這種靜態設定使市場無法根據流動性的實際增減和信息流的變化,來自適應地調整其深度與敏感度。
- 做市商的補貼角色: LMSR模型在理論上的數學期望是虧損的。做市商的損失,被視為其為獲取市場集體智慧(即所有交易形成的最終準確價格)所支付的“信息費用”。這一定位決定了它本質上是一個由發起方補貼交易的系統,不適用於追求利潤的做市商模型,也難以構建一個由大量去中心化LP共同參與的盈利生態。
此外,LMSR在鏈上實現時,涉及的對數和指數運算相較於DEX中常見的四則運算,會消耗更多的Gas,這進一步增加了其在去中心化環境下的交易摩擦。
範式遷移:Polymarket 放棄 LMSR 的邏輯必然性
綜上分析,LMSR是一個在平臺早期、流動性匱乏階段高效實用的工具。但當Polymarket的用戶與資金體量越過臨界點後,其以犧牲效率為代價換取流動性的設計,便從優勢轉變為發展的桎梏。其向訂單簿模式的遷移,是基於以下幾點戰略考量:
- 資本效率的根本訴求: LMSR要求做市商為從0%到100%的整個價格區間提供流動性,這導致大量資本沉澱在成交概率極低的價格點上,資本效率低下。訂單簿則允許做市商與用戶將流動性精準集中在市場最活躍的價格區間,這與專業做市策略高度契合。
- 交易體驗的優化: LMSR的算法特性決定了任何規模的交易都不可避免地產生滑點。對於流動性日益增厚的市場而言,這種固有的交易摩擦會阻礙大額資金的進入。而成熟的訂單簿市場能通過密集的對手盤深度吸收大額訂單,提供滑點更低、體驗更優的交易執行。
- 吸引專業流動性的戰略需要: 訂單簿是專業交易者與做市機構最通用、最熟悉的市場模型。轉向訂單簿,意味著Polymarket向加密世界乃至傳統金融的專業流動性供應商發出了明確的邀請信號。這是平臺從吸引散戶參與,邁向構建專業級市場深度的關鍵一步。
當前 Polymarket 的定價以及流動性機制
Polymarket的升級,是其在用戶規模與平臺成熟度達到臨界點後的必然選擇。這一轉變的背後,是其對交易體驗、Gas成本與市場深度三重目標的系統性考量。其當前的架構,可以從流動性機制與價格錨定邏輯兩個層面進行解析。
鏈上結算與鏈下訂單簿的混合模式
Polymarket的流動性機制採用了一種鏈上與鏈下結合的混合架構,旨在兼顧去中心化結算的安全性與中心化交易的流暢體驗。
- 鏈下訂單簿 : 用戶的限價單提交與撮合均在鏈下服務器完成,操作即時且無Gas成本。這使得Polymarket的交易體驗與中心化交易所趨同,用戶可以直觀地看到由所有限價單構成的市場深度(買賣盤口)。流動性因此直接來源於所有交易參與者自身,而非被動的流動性資金池。
- 鏈上結算: 當鏈下訂單簿中的買單與賣單成功撮合,最終的資產交割步驟會在Polygon鏈上通過智能合約執行。這種“鏈下撮合、鏈上結算”的模式,在保留訂單簿靈活性的同時,確保了交易結果的最終性與資產歸屬的不可篡改性。其顯示的“價格”,即是鏈下訂單簿中買一價與賣一價的中點。
價格錨定的底層邏輯——份額對鑄造與套利循環
對於預測市場,核心機制是如何確保“是”(YES)與“否”(NO)兩種結果的概率總和恆等於100%(即“$1”)。訂單簿模式本身不通過代碼強制限定掛單價格,而是通過一套精巧的底層資產設計與套利機制,利用市場自身的修正力量,確保價格總和始終向“$1”收斂。
1. 核心基礎:完整份額對的鑄造與贖回 該機制的基石是Polymarket合約層建立的一個不可動搖的價值等式。
- 鑄造: 任何參與者都可以向合約存入“$1” USDC,並同時獲得1個YES份額與1個NO份額。此操作確立了“1 YES份額 + 1 NO份額 = $1”的底層價值錨定。
- 贖回: 同樣,任何同時持有1個YES份額和1個NO份額的參與者,可隨時將其組合並交還給合約,贖回“$1” USDC。
這一雙向通道確保了一套完整結果的總價值被牢固地錨定在“$1”。
2. 價格發現:獨立的訂單簿交易 基於上述基礎,YES份額和NO份額作為兩種獨立的資產,在各自的訂單簿上與USDC進行交易。參與者可以自由掛出任何價格的限價單,協議層對此不設限制。這種自由定價機制必然會導致價格偏離,從而為套利者創造機會。
3. 價格約束:市場化的套利修正 套利者(通常為自動化機器人)的逐利行為是確保價格迴歸的關鍵。一旦YES與NO份額的交易價格之和偏離“$1”,無風險套利窗口便會打開。
- 當 “P(YES) + P(NO) > $1” (例如 “$0.70 + $0.40 = $1.10”): 套利者會執行“鑄造-賣出”操作:向合約存入“$1”,鑄造出1個YES和1個NO份額,再立即於訂單簿上分別以“$0.70”和“$0.40”賣出,獲得“$0.10”的無風險利潤。此行為大量發生,會增加市場的賣盤壓力,驅動YES和NO的價格同步下跌,直至其總和迴歸“$1”。
- 當 “P(YES) + P(NO)
這套機制的設計精髓在於,協議本身不扮演裁判員,而是通過建立一套牢固的價值錨點和開放的套利通道,讓市場參與者的逐利行為成為維護系統價格穩定性的決定性力量。
Polymarket 與 DEX 結合的可能性
Polymarket選擇從AMM升級至訂單簿模式, 一方面是平臺的使用人數爆發式上漲, 流動性充裕, 訂單簿體驗不至於糟糕; 另一方面, 定價機制升級之後更適合專業做市商參與.
隨著X 正式宣佈與 Polymarket 建立合作關係, Polymarket也成為了X的官方預測市場. Polymarket與X不對稱的用戶基數無疑會為前者帶來更進一步的新用戶. 在這個過程中, Polymarket又會與加密協議形成用戶基數的不對稱, 用戶的流量閘門會隨著X經Polymarket進入加密行業.
在這個前提下, 我們需要思考的是Polymarket與加密協議之間新的可能性, 進一步講, Polymarket與DEX結合的可能性.
首先,Polymarket為DEX生態參與者提供了原生且高效的風險對沖工具。DEX中的資產持有者與LP普遍面臨著無常損失、協議風險或宏觀波動的風險敞口。傳統對沖工具在DeFi中存在割裂感,而Polymarket的事件合約恰好能成為其風險定價的“鏡像層”。例如,針對“某穩定幣是否脫錨”或“某協議升級能否成功”的預測合約,可以直接被DEX用戶用來對沖其鏈上頭寸的潛在損失。這種模式將風險管理從被動承受轉變為主動配置,成為了DeFi生態中一個可組合的金融“積木”。
其次,預測市場的價格數據可作為DEX集中流動性管理的高價值先行指標。在Uniswap V3等集中流動性模型中,LP的資本效率與風險呈正相關,對市場變化的反應速度決定了其盈利能力。Polymarket上關於關鍵事件的實時賠率,本質上是市場對未來概率的集體共識,其變動往往早於鏈上資產的價格波動。自動化策略可以捕捉這一先行信號,用於動態調整LP的頭寸區間——在風險概率升高時拓寬區間或撤出,在確定性增強時收窄區間。這將LP從被動的流動性“沙袋”轉變為主動的、基於概率的風險管理者。
再者,通過將DEX的核心指標與Polymarket的事件結果掛鉤,能夠催生出全新的結構化金融產品。協議的增長需要與社區利益深度綁定,而Polymarket為此提供了透明、公正的外部驗證機制。協議可以設計一種“條件化”的收益分配模型:例如,將大部分交易手續費的分配,與Polymarket上“本季度交易量能否突破N億美元”的事件結果綁定。若結果為“是”,則質押者分享超額收益;若為“否”,則收益用於回購銷燬。這種設計將協議的KPI轉化為社區可直接參與的金融產品,構建了更直接的利益共同體和價值捕獲閉環。
綜上所述,Polymarket與DEX的結合並非簡單的功能疊加,而是基礎設施層面的深度嵌合。Polymarket正在演變為一個面向整個加密行業的“風險定價層”與“信息預言機”。隨著X帶來的流量逐步滲透,其與DEX這類基礎協議的融合,將不再是可選項,而是決定未來DeFi生態是否能走向更高效、更成熟、更具韌性的關鍵變量。
關於 Movemaker
Movemaker 是由 Aptos 基金會授權,經 Ankaa 和 BlockBooster 聯合發起的首個官方社區組織,專注於推動 Aptos 華語區生態的建設與發展。作為 Aptos 在華語區的官方代表,Movemaker 致力於通過連接開發者、用戶、資本及眾多生態合作伙伴,打造一個多元、開放、繁榮的 Aptos 生態系統。
免責聲明:
本文/博客僅供參考,代表作者的個人觀點,並不代表 Movemaker 的立場。本文無意提供:(i) 投資建議或投資推薦;(ii) 購買、出售或持有數字資產的要約或招攬;或 (iii) 財務、會計、法律或稅務建議。持有數字資產,包括穩定幣和 NFT,風險極高,價格波動較大,甚至可能變得一文不值。您應根據自身的財務狀況,仔細考慮交易或持有數字資產是否適合您。如有具體情況方面的問題,請諮詢您的法律、稅務或投資顧問。本文中提供的信息(包括市場數據和統計信息,若有)僅供一般參考。在編寫這些數據和圖表時已盡合理注意,但對其中所表達的任何事實性錯誤或遺漏概不負責。





