우리는 항상 한 판만 더 하면 역전할 수 있다고 생각합니다. 바로 집단의 평균을 우리 개인의 운명으로 착각하기 때문입니다. 1,000위안의 초기 자본으로 동전 던지기 챌린지 게임에 참여하고, 계속 플레이하기로 선택했다고 상상해 보세요.
매 라운드마다 동전을 던집니다.
- 앞면으로 뒤집으면 재산이 80% 늘어납니다.
- 반대쪽으로 뒤집으면 재산은 50% 감소합니다.
이 게임은 확실히 이길 것 같네요!
하지만 현실은…
만약 10만 명의 플레이어가 이 게임에 참여하게 하고 각자가 100라운드씩 플레이하게 한다면, 플레이어의 평균 재산은 기하급수적으로 늘어나지만, 그들 대다수의 최종 재산은 72위안에도 미치지 못하거나 심지어 파산에 이르게 됩니다!
왜 평균 재산은 늘어나는데, 대부분 사람들은 게임을 하면서 점점 더 가난해지고 있을까요?
이것은 전형적인 비에르고딕 함정입니다. 우리는 항상 한 판만 더 하면 상황을 역전시킬 수 있다고 생각합니다. 바로 집단의 평균을 우리 개인의 운명으로 착각하기 때문입니다.
비에르고딕 함정: 장기 평균 ≠ 당신의 진정한 운명
에르고딕성이란 무엇인가?
에르고딕성(ergodicity)이라는 개념은 통계물리학에서 처음 등장하여 확률론, 금융, 행동과학, 머신러닝(ML) 등 여러 분야에 지대한 영향을 미쳤습니다. 이 개념이 답하고자 하는 핵심 질문은 다음과 같습니다. 장기적인 평균은 개인에게 적용될 수 있을까요? 우리는 결정을 내릴 때 "장기적인 평균"을 믿어야 할까요, 아니면 "개인적인 경험"의 현실을 믿어야 할까요?
19세기에 물리학자 루트비히 볼츠만은 기체 분자의 운동을 연구하면서 에르고딕 가설을 제안했습니다. 즉, 기체 분자를 충분히 오랫동안 관찰하면 모든 가능한 상태를 거칠 것이라는 가설입니다.
수많은 기체 분자가 들어 있는 밀폐된 기체 용기를 상상해 보세요. 각 분자는 충돌 과정에서 서로 다른 속도 궤적을 겪습니다. 단일 분자의 장기 궤적은 전체 기체의 통계적 분포와 동일합니다. 즉, 특정 순간의 모든 분자 상태를 이용하여 단일 분자의 장기 궤적을 추론할 수 있습니다.
이것이 유명한 볼츠만의 에르고딕 가설이다.

수학적으로 에르고딕성은 다음을 의미합니다.

왼쪽은 시간 평균입니다. 이는 개인이 충분히 긴 기간 동안 동일한 과정을 여러 번 거친 후 얻은 평균 결과를 설명합니다.
오른쪽은 집단 평균입니다. 특정 시점에 수많은 개인을 관찰한 결과에 대한 통계적 기대치를 나타냅니다. 다시 말해, 시스템이 에르고딕 조건을 충족할 때, 한 개인의 성과는 결국 집단의 "장기 평균"으로 수렴하게 됩니다.
세상이 에르고딕이라면, 모든 사람의 부는 결국 사회의 평균 부 수준으로 수렴할 것입니다. 에르고딕 세계에서는 모든 사람이 가능한 모든 경제적 상태(부유, 빈곤, 성공, 실패)를 경험할 수 있으며, 개인의 운명은 항상 집단의 "장기 평균"으로 수렴할 것입니다.
하지만 현실 생활은 종종 비에르고딕적이다. 개인은 제한된 자원을 가지고 있으며 가능한 모든 경로를 경험하기도 전에 실패로 인해 제거되는 경우가 많다.
우리는 종종 다음과 같은 선도적인 발언을 듣습니다.
"어떤 산업의 연평균 소득은 100만 달러가 넘습니다."
"어떤 사람은 30세에 재정적으로 독립해서 불과 2년 만에 자신의 사업을 시작했습니다."
"어떤 인덱스 펀드는 장기적으로 높은 연간 수익률을 보입니다. 꾸준히 투자하면 부자가 될 수 있습니다."
…
이처럼 타당해 보이는 통계는 우리에게 어떤 진실을 말해주는 듯합니다. 우리가 행동하기만 한다면 장기적인 평균적인 이익이 개인에게 적용될 것이라는 것입니다. 하지만 이러한 사례들은 경로 의존성과 복제 불가능한 비에르고딕 과정에 속합니다. 모방자는 동일한 역사적 배경, 관계망, 행운의 결절점을 경험할 수 없으며, 심지어 숨겨진 패배자의 수조차 알 수 없습니다.
데이터는 그룹의 장기적인 평균을 알려주지만, 현실은 단기적인 "절벽과 같은 실패"로 가득 차 있습니다.
이것이 비에르고딕성의 가장 교활한 함정입니다 . 즉, 빅데이터 통계의 평균 ≠ 개인의 진정한 운명입니다.
개인의 실패는 결코 만회될 수 없으며, 실패는 사람을 게임에서 완전히 배제시켜 "평균적인 상태"로 돌아가는 것을 불가능하게 만들 수도 있습니다. 우리 각자는 인생의 길을 단 한 번만 경험할 수 있으며, 카지노처럼 집단의 장기적인 평균을 따져 수많은 도박꾼들의 확률 평균이 나오기를 기다릴 수는 없습니다.
왜 개인의 장기적 운명은 대체로 "평균"보다 나쁠까?
비에르고딕 시스템에서는 개인의 장기 성과가 집단 평균보다 낮은 경우가 많습니다. 이는 우연이 아니라 체계적이고 구조적인 특징입니다. 화려한 평균은 극소수의 성공한 기업가, 즉 빠르게 부자가 된 후 역습을 통해 다시 한번 성공을 거둔 투자자들의 이야기에 의해 종종 부각되지만, 훨씬 더 많은 사람들의 실패는 통계에 포함되지 않습니다.
실제 시스템은 대부분 곱셈적이며, 투자 복리, 건강 악화, 평판 손상과 같은 경로 의존적 특성을 지닙니다. 이러한 시스템의 전형적인 특징은 제한된 상승과 끝없는 하락입니다.
파산은 당신의 인생을 망칠 수 있습니다.
잘못된 결정을 계속 내리면 운명이 완전히 바뀔 수도 있습니다.
단 한 번의 신뢰 위반으로 신뢰가 완전히 파괴될 수 있습니다.
하지만 획득할 수 있는 부, 증가시킬 수 있는 성과, 확립할 수 있는 이점은 항상 제한적입니다.
이것이 수학적으로 곱셈 과정의 장기 성장률이 "평균 수익"과 같지 않고 다음에 더 가까운 이유입니다.

이와 대조적으로, 그룹 평균은 일반적으로 산술 평균을 사용하여 계산됩니다.

로그 함수는 엄격히 오목한 함수이므로 젠슨 부등식에 따르면 다음이 성립합니다.

따라서 곱셈 체계(즉, 기하 평균)의 장기 성장률은 항상 산술 평균보다 낮습니다. 변동폭이 클수록 이 차이는 더욱 뚜렷해집니다. 산술 평균은 '항상 운이 좋다면 어떨까?'를 알려주는 반면, 기하 평균은 '현실 세계의 기복을 겪고 나서 얼마나 남았는가'를 알려줍니다.
즉, 개인의 장기적 수익률은 불운 때문이 아니라 구조 때문에 항상 "그룹의 평균 수익률"보다 훨씬 낮다는 것을 의미합니다.
최고의 결정을 내리는 방법? 켈리 공식의 황금분할
그렇다면 장기적으로 원금이 0이 되는 운명을 피하기 위해 인생의 결정에서 무엇을 할 수 있을까요? 파산하지 않고 장기 복리 이자를 얻으려면 어떻게 해야 할까요?
답은: 절대로 올인하지 말고, 켈리와 함께 베팅하는 법을 배우세요!
켈리 기준은 반복 게임에서 사용되는 최적의 베팅 전략으로, 단기적인 손실을 피하면서 장기적인 이익을 극대화하는 것을 목표로 합니다. 1956년 벨 연구소의 존 L. 켈리 주니어가 통신 시스템에서 정보 전송 효율을 극대화하기 위해 "잡음이 많은 채널에서 신호 전력을 어떻게 분배할 것인가"라는 문제를 해결하기 위해 처음 제안했습니다.
나중에 이 이론은 다양한 분야로 빠르게 퍼져나갔습니다.
미국의 수학자이자 투자 전문가인 에드워드 소프는 켈리 공식이 부의 성장 경로를 최적화할 수 있다는 것을 발견했습니다. 그는 켈리 공식을 카지노에 도입하여 "딜러를 이겨라(Beat the Dealer)"에서 처음으로 블랙잭 딜러를 체계적으로 이기는 데 사용했습니다. 이후 월가에 도입하여 "마켓을 이겨라(Beat the Market)"에서 "수확"을 계속했습니다.
이 원리는 본질적으로 로그 기대 수익률(로그 효용)을 극대화하는 것과 동일하며, 성장과 리스크 사이의 역동적인 균형을 고려합니다. "장수"와 "충분한 소득" 사이의 최적의 균형을 찾는 데 도움이 됩니다.
켈리의 공식:

이 중 성공 확률은 p이고, 실패 확률은 q = 1-p입니다. 성공 시의 수익률(원금 제외)은 b이고, 실패 시의 손실률은 a(일반적으로 손실이 베팅 금액 전체인 경우 1)입니다.
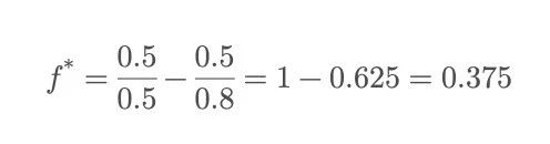
처음에 언급한 동전 던지기 게임으로 돌아가서, 원금의 특정 비율을 걸고 계속 플레이할 수 있지만, 매번 걸기에 가장 합리적인 금액은 얼마일까요?

즉, 켈리 공식은 매번 총 자금의 37.5%를 투자할 것을 권장합니다. 너무 많이 베팅하면, 유리한 상황이라 하더라도 몇 번의 연속적인 손실로 인해 청산될 수 있습니다. 너무 적게 베팅하면 마땅히 누려야 할 수익을 놓치게 됩니다.
켈리 공식의 중요성은 장기적으로 가장 많은 돈을 벌 수 있고, 여전히 생존할 수 있는 지점을 찾는 것입니다.
또한 켈리 공식은 승리 확률에 매우 민감하지만, 실제로 이러한 매개변수는 종종 불확실하거나 동적으로 변하기 때문에 많은 신중한 실무자는 더 원활한 복귀 경로를 위해 켈리가 권장하는 값의 절반(하프 켈리 전략이라고 함)을 선택합니다.
시뮬레이션 실험: 10만 명의 사람들이 동전 던지기 게임을 하고 있습니다. 몇 명이나 "생존"할 수 있을까요?
다양한 베팅 전략이 개인의 운명에 미치는 영향을 보다 직관적으로 이해하기 위해, 저는 10만 명의 플레이어가 총 200라운드 동안 동전 던지기 게임에 참여하는 상황을 시뮬레이션했습니다. 각 플레이어는 독립적으로 게임을 했습니다.
게임 규칙은 여전히 동일합니다. 원금은 1,000이고, 앞면은 80%를 얻고, 뒷면은 50%를 잃습니다. 플레이어는 고정 베팅 비율을 선택할 수 있습니다. 예를 들어, 모두 베팅(100%), 65% 베팅, 37.5% 베팅 등입니다.
그 결과... 모든 베팅을 한 플레이어의 100%가 거의 탈락했습니다!
결국 부는 "멱함수 분포"를 따릅니다. 극소수의 사람만 부자가 되지만, 대다수의 플레이어는 파산합니다.
저희는 이 네 가지 베팅 전략을 통해 플레이어들의 자산 분포를 비교했습니다. 자산 분포가 오른쪽으로 갈수록 플레이어의 자산이 더 높다는 것을 의미합니다.
a. 100% 베팅: 거의 모든 사람이 파산한다

올인 전략 하의 최종 자산 배분은 왼쪽에 엄청난 빈곤 정점이 있고 오른쪽에는 매우 얇은 부자 꼬리가 있습니다. 대부분의 사람들이 파산하고, 극소수의 사람만이 모든 돈을 가져갑니다. 이것이 바로 게임의 비대칭성과 생존자 편향의 진정한 모습입니다.
b. 65% 베팅: 여전히 양극화되어 있고, 여전히 대량 사람들이 파산합니다.

c. 37.5% 베팅(켈리 공식): 부의 꾸준한 성장

켈리 베팅 전략에 따르면 자산 분배는 확실히 오른쪽으로 이동했으며, 대부분 사람들의 자산은 증가하고 집중되었는데, 이는 최적의 부 축적 모델입니다.
d. 10% 베팅: 파산하는 사람은 거의 없지만 수익률이 너무 낮음

올인 전략처럼 파산 분배 급증은 없지만, 전체 자산은 저자산 영역에 집중되어 있습니다. 이와 대조적으로, 37.5% 전략은 오른쪽에서 뚜렷한 롱테일을 형성하여 자산을 두 배로 늘립니다.
켈리 베팅은 "대부분의 경우 파산하지 않는 것"과 "상당한 부가가치 창출"을 모두 고려하는 유일한 전략이며, 수학적으로 최적의 장기 생존 전략입니다. 이것이 바로 켈리 공식의 핵심입니다. 켈리 공식은 최대한 많은 수익을 내는 것이 아니라, 충분히 오래 살 수 있도록 보장하는 것입니다.
켈리의 공식에 담긴 삶의 철학
켈리의 공식은 장기적인 성공의 비결은 "베팅"의 비율을 조절하는 법을 배우는 것이라고 말합니다. 인생은 누가 결정타를 날리는지가 아니라, 누가 계속 플레이하느냐에 달려 있습니다.
직업에 있어서 중요한 것은 열정 때문에 직장을 그만두거나 안전지대에 머무르는 것이 아니라, 지속적으로 계획을 세우고, 자신의 능력을 향상시키고, 직업을 바꾸는 과감함을 갖고, 선택의 여지를 열어두는 것입니다.
투자에서는 하룻밤 사이에 부자가 되기 위해 모든 것을 걸고 투자하는 것이 아니라, 확률에 따라 포지션을 조절하고 코인 지키는 것이 중요합니다.
관계에서는 정서 과 가치를 한 사람에게 맡기는 것이 아니라, 자신의 자아를 지키면서 투자하는 것입니다.
성장과 자기 훈련 측면에서 변화는 단 한 번의 폭발로 이루어지지 않고, 안정적이고 복리로 인한 삶의 구조 최적화를 통해 이루어집니다.
인생은 긴 게임과 같습니다. 목표는 한 번 이기는 것이 아니라, 계속 플레이하는 것입니다. 탈락하지 않는 한 좋은 일들이 일어날 것입니다.





