Bài viết này được dịch máy
Xem bản gốc
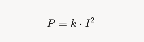
Luật của Fred: Giá của Bit tăng theo bình phương mức quan tâm đến Bit.

Đầu tiên: tại sao điều này lại đúng về mặt thống kê?
- Năm ngoái, @Giovann35084111 đã chỉ ra rằng mối quan hệ bậc hai được áp dụng cho các địa chỉ.
- nói một cách đại khái thì các địa chỉ này đang tăng trưởng ở t^3 trong khi giá đang tăng ở t^6
- gần đây Gio đã chỉ ra rằng điều tương tự cũng đúng đối với các tìm kiếm.
Bây giờ: tại sao chúng ta lại nghĩ điều này là đúng?
mỗi người tham gia mới mang đến Lãi suất mua I không chỉ tăng giá một đồng xu mà còn lấy một đồng xu ra khỏi thị trường.
Điều này cuối cùng trở thành mối quan hệ bậc hai. Nó là duy nhất trong Tài sản tài chính, vì sự khan hiếm tuyệt đối.
Một cách để nghĩ về điều này là coi nó như một Nhà tạo lậo trị trường tự động (AMM).
Hãy tưởng tượng rằng có 2 triệu "đồng tiền có sẵn" được giao dịch trong một nhóm với 2MM * 100K = 200 tỷ USD.
Bây giờ hãy lấy một nửa số Bitcoin đó từ nhóm (Tiền lãi tăng gấp đôi). Sau đó, bạn sẽ có 1 triệu đồng xu với tích không đổi = 400 tỷ = 400 nghìn
Lưu ý rằng đây là "tương tự" nhưng không giống với Metcalfe. Đây là quá trình mọi người khám phá và tiết kiệm vào một tài sản khan hiếm, không giao tiếp trong một mạng lưới.
Nó không hiệu quả với Vàng vì không có "khám phá mới lạ". Vàng đã tồn tại mãi mãi.
Khu vực:
Từ Twitter
Tuyên bố từ chối trách nhiệm: Nội dung trên chỉ là ý kiến của tác giả, không đại diện cho bất kỳ lập trường nào của Followin, không nhằm mục đích và sẽ không được hiểu hay hiểu là lời khuyên đầu tư từ Followin.
Thích
Thêm vào Yêu thích
Bình luận
Chia sẻ
Nội dung liên quan






